
L’EMDR rend la poursuite oculaire fluide
Mis à jour le 11 avril 2016
Un article L’EMDR rend la poursuite oculaire fluide, de Zoi Kapoula
Adapté de l’article ci-dessous avec la participation d’Alexandre Taeger
Kapoula Z, Yang Q, Bonnet A, Bourtoire P, Sandretto J (2010) Effets EMDR sur les mouvements de poursuite oculaires. PLoS ONE 5 (5): e10762.
Cette étude vise à objectiver la qualité des mouvements de la poursuite lisse de l’œil dans une tâche standard de laboratoire, avant et après une session de désensibilisation par la méthode (EMDR eye movement desensibilisation et reprocessing) appliquée sur sept volontaires sains. L’EMDR a été appliquée sur des évènements autobiographiques causant une détresse modérée. La session EMDR était complète dans 5 des 7 cas : la détresse mesurée par le SUD (Echelle subjective d’Unités d’inconfort) a diminué à une valeur proche de zéro. Les mouvements oculaires de poursuite lisse ont été enregistrés par un système vidéo avant et après l’EMDR. Pour les cinq sessions complètes, le mouvement de la poursuite oculaire s’est amélioré après leur séance d’EMDR. Notamment, le nombre d’intrusions de saccades de rattrapage (CUS) a diminué et réciproquement, il y a eu une augmentation dans les composants lisses de la poursuite. Une telle amélioration de la poursuite lisse peut être due à un meilleur déploiement de l’attention visuelle nécessaire pour suivre la cible de façon lisse sans recours aux saccades de rattrapage.
Introduction
Recherche sur le traitement EMDR – rôle des mouvements oculaires
La thérapie de désensibilisation et retraitement des événements négatifs par des mouvements oculaires (EMDR) est une thérapie qui est destinée à traiter l’anxiété, le stress et les traumatismes. Il a été développé par Francine Shapiro (Shapiro, 1995). L’EMDR est structurée en huit phases et aborde le passé, le présent et les aspects futurs de la mémoire stockée dysfonctionnelle. Les huit phases sont: l’histoire et la planification du traitement, la préparation du patient, l’évaluation, la désensibilisation, l’installation de la cognition positive, le scanner du corps, la fermeture et la réévaluation. Le patient identifie une image représentative d’une mémoire cible dysfonctionnelle, il évalue la signification émotionnelle de l’image et identifie les sensations physiologiques concomitantes. L’évaluation cognitive de la mémoire cible est faite et le degré de détresse par rapport à la mémoire cible est évalué sur une échelle de détresse subjective. Au cours de la désensibilisation, le patient revient à l’image dans plusieurs brefs moments tout en effectuant simultanément des mouvements des yeux de gauche à droite afin de suivre le mouvement de la main du thérapeute qui agit comme un stimulus à double action. Après chaque série des mouvements oculaires le patient est invité à rapporter l’information associative qui a été suscitée. Ici, nous allons souligner que le mouvement de la main du thérapeute en continu se fait généralement de manière à stimuler le système physiologique du mouvement de la poursuite oculaire lisse. La poursuite oculaire lisse diffère des saccades qui sont les mouvements oculaires rapides utilisés pour refixer les objets présentés à des positions distinctes. Le mouvement de la poursuite est la capacité des yeux à suivre de façon lisse et fluide un petit objet en mouvement dans un environnement stable. Comme mentionné, le stimulus pour l’initiation de la poursuite lisse est la vitesse de l’objet en mouvement, c’est-à-dire le glissement de l’image sur la rétine qui s’éloigne de la fovéa. En revanche la saccade oculaire s’active lorsque le regard va fixer un objet qui ne bouge pas (le centre de la rétine avec une haute densité des photo-récepteurs permettant une analyse visuelle fine).
Notre étude présente un examen physiologique des mouvements oculaires en soi combinés avec des séances d’EMDR. Comme le mouvement oculaire du patient suscité par le mouvement gauche/droite de la main du thérapeute EMDR est globalement un mouvement de poursuite oculaire lisse, nous avons entrepris une étude physiologique de ce mouvement.
Aspects normaux et pathologiques de la poursuite des mouvements oculaires
La poursuite n’est pas parfaite, même chez les sujets sains. Plusieurs types de déficits peuvent exister: une initiation lente, un faible gain (précision) associé à des intrusions ou des saccades, des saccades prédictives. Ici, nous allons être intéressés principalement dans un type de petites saccades apparaissant pendant la poursuite lisse (SP), soit des saccades de rattrapage (Catch Up Saccade). Les saccades de rattrapage se produisent lorsque les yeux sont à la traîne avec une vitesse inférieure à celle de la cible mobile.
Plusieurs études ont rapporté des déficits de la poursuite dans les troubles psychologiques tels que la schizophrénie ou l’autisme. Les anomalies pendant la poursuite lisse chez les patients schizophrènes et leurs parents ont été signalées par Ross et al, 2002 : les patients schizophrènes ont montré un gain faible et des taux accrus de CUS (Karoumi et al, 2002). D’autres études ont signalé des difficultés dans la poursuite des cibles en mouvement rapide, à savoir un faible gain de poursuite lisse et une mauvaise accélération initiale par rapport à des sujets témoins (Hong et al, 2003). Cette faiblesse est corrélée négativement avec l’activation dans des régions connues, pour jouer un rôle dans la poursuite, comme le champ oculomoteur frontal (voir Rommelse et al, 2008.)
Les patients atteints d’autisme montrent aussi un faible gain de poursuite, au moins lors de sa période initiale de 100 ms, mais ces déficits n’ont été observés que lorsque les cibles sont déplacées du centre dans le champ visuel droit (Takarae et al, 2004). Notez que les patients atteints d’autisme ont aussi des difficultés avec différents types de saccades: les anti-saccades (saccades volontaires de direction opposée à une cible visuelle), les saccades guidées par la mémoire des cibles brièvement flashées, les saccades prédictives (Goldberg et al, 2002). Les anomalies de la poursuite ont également été signalées dans la dyslexie. Black et al, 1984 ont signalé des taux élevés de CUS pendant une poursuite lisse chez les dyslexiques. Eden et al, 1994 ont trouvé une poursuite pauvre chez les dyslexiques, en particulier lors de la poursuite d’une cible se déplaçant de gauche à droite.
Cette revue n’est pas exhaustive et indique des anomalies de la poursuite oculaire dans plusieurs pathologies. Dans quel degré les anomalies de la poursuite pourraient-être un marqueur biologique des troubles psychologiques est une question controversée (Trillenberg et al, 2004). Certaines anomalies de la poursuite peuvent être dues à la fluctuation de l’attention plutôt qu’à des déficits des circuits corticaux-sous-corticaux impliqués dans la production d’un tel mouvement. En effet, l’augmentation des taux de CUS se produit également chez les sujets sains dans les tâches nécessitant une division de leur attention, tels que l’écoute et la poursuite d’une cible visuelle (Van Gelder et al, 1995). Nous pouvons en conclure cependant, que la qualité des mouvements oculaires de la poursuite, en particulier leur fluidité et nature lisse peut refléter le fonctionnement du cerveau, la cognition et le déploiement de l’attention. Les études citées ci-dessus sont particulièrement pertinentes car ils fournissent un contexte pour l’interprétation des effets éventuels de l’EMDR sur la physiologie des mouvements oculaires de poursuite (voir Discussion ).
Le but de la présente étude était d’objectiver chez des volontaires sains les effets d’une session EMDR sur la physiologie des mouvements oculaires de poursuite étudiée dans une configuration de laboratoire. La poursuite oculaire a été mesurée avec une vidéo-oculographie avant et après une séance d’EMDR effectuée auprès de personnes évoquant des souvenirs négatifs.
Méthodes
Sujets
Sept sujets (femmes, 32,2 ± 8,5 années, moyenne ± écart-type) ont participé à l’étude. Trois d’entre eux étaient des étudiants de l’université de la psychologie et les autres étaient des psychothérapeutes; tous avaient un intérêt intellectuel pour l’EMDR par rapport à leurs projets professionnels. Ils ont été interrogés sur le fait qu’une maladie psychiatrique physique était connue, sur la prise de médicaments, antérieure ou en cours, le suivi par un psychothérapeute. Tous les sujets étaient en bonne santé et avaient une vie quotidienne stable. Ils ont été invités à choisir un événement négatif autobiographique de détresse modérée. Elle a été évaluée par la suite en suivant le protocole EMDR. Les informations générales sur l’EMDR ont été données comme l’exige le protocole EMDR, ainsi que les informations sur le test physiologique de la poursuite oculaire et sur l’appareil de vidéo-oculographie. Pour éviter les biais, l’hypothèse spécifique de l’étude, à savoir l’influence possible de l’EMDR sur les paramètres de la poursuite des mouvements oculaires, n’a pas été communiquée aux sujets. La thérapie EMDR a été faite par un thérapeute qui avait reçu une formation (niveau 2) accrédité par l’association française EMDR.
EMDR et les mesures
Le protocole EMDR implique une évaluation de l’intensité de la détresse. Dans cette étude, nous avons utilisé l’échelle d’inconfort SUD (subjective unit of distress) (Wolpe & Abrams, 1991). C’est l’une des mesures les plus largement utilisées de l’intensité de la détresse subjective : une échelle de 11 points, où 10 reflètent le plus haut niveau de détresse ou de perturbation et 0 le niveau d’absence de détresse / ou de perturbations le plus bas. Il a été démontré en corrélation avec plusieurs mesures physiologiques du stress (Thyer et al, 1984). Le thérapeute a suivi le protocole Shapiro » (Shapiro, 2001) pour le ciblage sur les vieux souvenirs. Le Tableau 1 montre les scores SUD avant et après la session indiquant un malaise de degré modéré. Le VOC (validité de l’échelle cognitive) indiquant la cognition positive désirée par la personne à la place de la cognition négative initiale, est également montrée avant et après, sauf lorsque la session n’était pas complète (Lee & Drummond, 2008).
Tâche de la poursuite oculaire en laboratoire
Le stimulus se composait d’un point noir (0,2 °) au centre de l’écran du PC (Figure 1A). Chaque essai commençait avec une période de fixation de 1 s au centre. Le point se déplaçait brusquement au départ de 2 ° vers la gauche ou vers la droite et ensuite glissait de façon lisse dans le sens opposé pour stimuler la poursuite oculaire (Figure 1B), (le paradigme Rashbass, 1961). La vitesse du point était toujours de 15 ° / s et il s’est arrêté quand une position était excentrée de 15 ° et a été atteint. Chaque bloc comprenait 30 essais présentés au hasard (15 à gauche et 15 à droite), le bloc durant environ 4 min. L’instruction donnée au sujet était de poursuivre le point mobile aussi précisément que possible. La tâche a été répétée avant et après la session EMDR.
Figure 1. La tâche de la poursuite lisse. (A) Un point sur l’écran d’ordinateur, à 57 cm des yeux se déplace. (B) le point se déplace initialement vers une direction puis il commence à glisser dans la direction opposée avec une vitesse de 15° / s. (C) Trajectoire de la poursuite oculaire (signal moyenné aux deux yeux obtenu par video-oculographie)
L’analyse des données
Nous avons mesuré le gain de la poursuite, par exemple le rapport de la vitesse moyenne de la poursuite lisse oculaire (sans saccades) à la vitesse du point sur l’écran; le nombre de saccades de rattrapage (CUS, voir Fig. 1C) au cours de la poursuite et leur amplitude moyenne.
Résultats
EMDR mesures subjectives
Le Tableau 1 résume les résultats de l’EMDR. Avant la session EMDR, la valeur moyenne de SUD était de 6,43; après la session, cette valeur a chuté à 0,79. Notez que pour les deux sujets (S2, S3) les valeurs sont restées> 2 et ces séances n’étaient pas complètes. Réciproquement, la valeur moyenne VOC du groupe était faible avant la session EMDR (2,43) et a augmenté à 7 après la session.
La trajectoire de la poursuite oculaire
Aspects qualitatifs
Figure 2 et 3 montrent les trajectoires superposées de la poursuite oculaire avant et après la session EMDR, pour la cible (le point) se déplaçant vers la droite (A) et vers la gauche (B). Chaque tracé est la position instantanée de l’œil (en degrés) au fil du temps en suivant le point à l’écran du PC. L’œil commence à se déplacer après une période de temps, la période de latence (indiquée par le segment horizontal d’épaisseur). La ligne oblique épaisse indique la position du point cible au fil du temps. Si les mouvements de la poursuite oculaire étaient parfaits, ils devraient être superposés à la ligne de la cible. Ce n’est pas le cas. La position de l’œil dans la plupart des cas, est à la traîne du point-cible et de petites saccades de rattrapage ont été faites (indiquées par des flèches vers le haut dans la Figure. 2 et flèches vers le bas dans la Figure. 3. Les instances des saccades d’anticipation sont indiquées par des flèches vers le bas dans la Figure. 2, flèches vers le haut dans la Figure. 3. Lors des saccades anticipées, l’œil, va au-delà de la cible, puis une autre petite saccade de retour se produit. La majorité des saccades sont des saccades de rattrapage.
Tous les sujets ont suivi le point cible jusqu’à ce qu’il s’arrête (lorsque arrivé au bout de l’écran) mais leur poursuite a été fréquemment interrompue par des saccades, notamment avant la session EMDR. Le SUD et le VOC pour chaque sujet sont également présentés. L’examen des traces et des valeurs SUD et de VOC montre une amélioration de la fluidité, par exemple moins d’intrusions saccadiques pour S1, S4, S6, S7. Pas de changements notables ont pu être observés pour S2 et S3 dont le SUD reste élevé après EMDR (EMDR sessions incomplètes); S3 ayant le SUD le plus élevé et le VOC le plus bas avant la session EMDR, avec des valeurs persistantes après la session EMDR, ses résultats n’ont pas été inclus dans l’analyse de groupe statistique (voir ci-dessous).
Figure 2. Mouvements de la poursuite oculaire vers la droite. Tracés individuels de la poursuite oculaire vers la droite avant et après l’EMDR pour chaque sujet. La ligne diagonale épaisse montre le déplacement de la cible. L’œil à la traîne de la cible puis effectue des saccades de rattrapage (flèches vers le haut). Parfois l’œil va au-delà de la position de la cible et puis une petite saccade de retour se produit (voir flèche vers le bas). Les valeurs de SUD et de VOC de chaque sujet diminuent et augmentent respectivement après la session EMDR.
Figure 3. Mouvements de la poursuite oculaire vers la gauche. Notations comme dans la figure. 2 .
Résultats quantitatifs
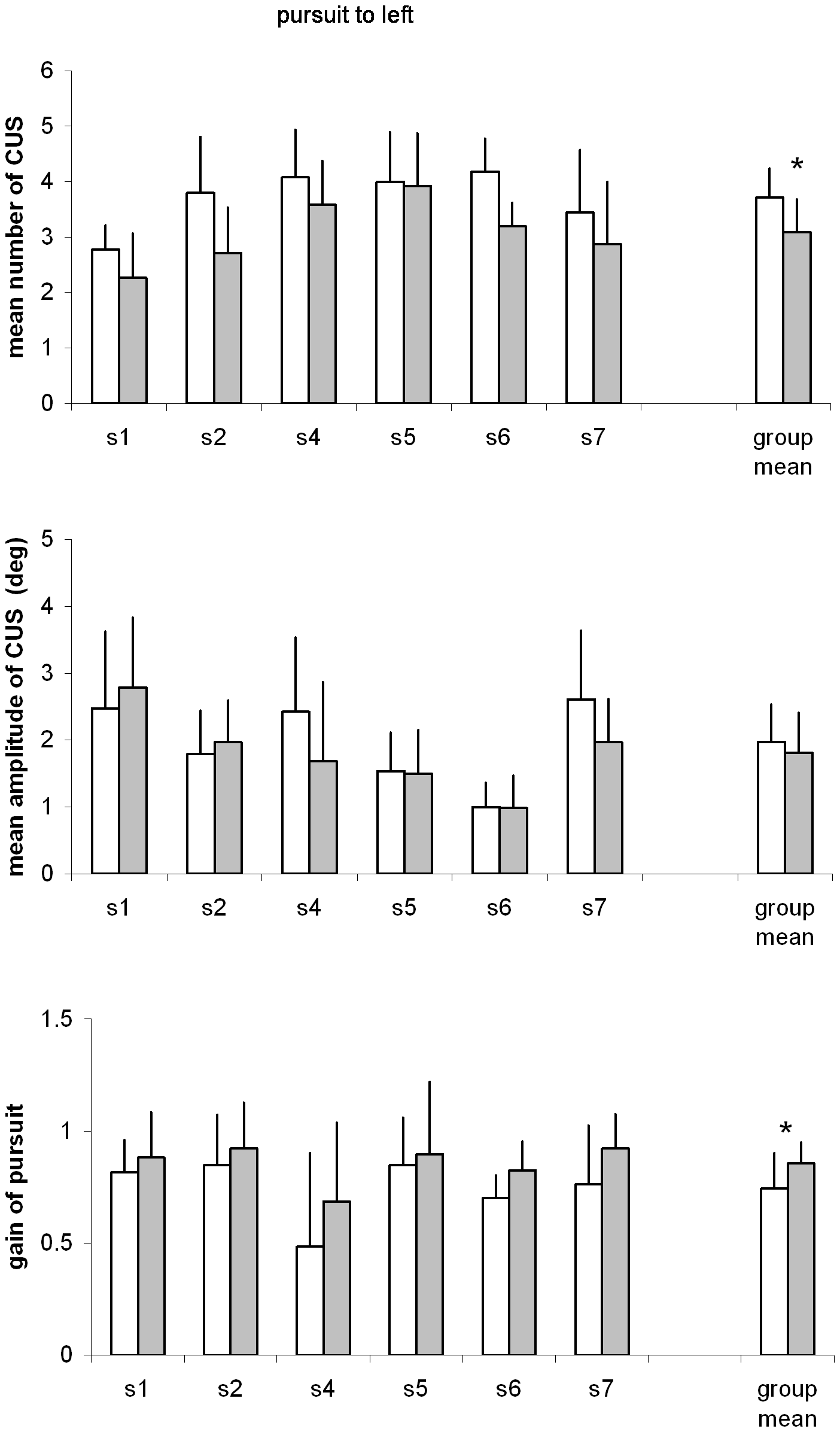
Les Figures 4 et 5, montrent le nombre et l’amplitude des CUS, et le gain de la poursuite lisse à droite et à gauche respectivement. Le test de Wilcoxon appliqué au nombre moyen de CUS a montré une diminution statistiquement significative après EMDR pour les deux directions (à la fois T = 1, p <0,05); réciproquement, le gain de poursuite lisse a augmenté significativement après EMDR pour les deux directions (T = 0, p <0,05). La moyenne de l’amplitude du CUS n’a pas changé de façon significative après l’EMDR. L’inspection des résultats individuels dans les Figures 4 et 5montre que ces effets sont systématiques concernant presque tous les sujets.
Figure 4. Paramètres de la poursuite oculaire. Valeurs moyennes individuelles avec leur écart-type du nombre de CUS (A), de l’amplitude de la CUS (B) et du gain de la poursuite lisse (C); les données sont présentées avant et après l’EMDR pour la poursuite oculaire vers la droite. Des valeurs moyennes de groupe sont présentées à droite de chaque groupe. Les astérisques indiquent une différence statistiquement significative.
Figure 5. Paramètres de la poursuite oculaire vers la gauche. Toutes les autres notations comme dans la figure. 4 .
Discussion
L’étude visait à objectiver la qualité de la poursuite oculaire dans une tâche standard de laboratoire avant et après la session EMDR. La session EMDR a été appliquée sur des sujets sains ayant des soucis autobiographiques causant une détresse modérée. La session EMDR était complète dans 5 des 7 cas, et la détresse mesurée par le score SUD a diminué à la valeur proche de zéro. Les mouvements de la poursuite oculaire se sont améliorés après la session EMDR, à savoir le nombre de CUS a diminué et réciproquement, le gain de la composante lisse de la poursuite a augmenté. Donc, l’effet global de l’EMDR est une amélioration de la fluidité de la poursuite, à savoir, les yeux qui étaient avant à la traîne derrière la cible, parviennent maintenant à la suivre précisément et donc avec moins de CUS. Cette amélioration reflète sans doute un meilleur déploiement des ressources d’attention visuelle nécessaire pour suivre une cible mobile. En effet des études antérieures ont montré que le taux de CUS peut augmenter dans les tâches doubles, dans lesquelles les sujets doivent suivre la cible de poursuite tout en écoutant une voix prononcer une série de lettres (Van Gelder et al, 1995). Surtout les taux de CUS avant EMDR pour tous les sujets étaient anormalement élevés. Ainsi, l’EMDR a normalisé la poursuite oculaire.
On pourrait aussi faire valoir que l’amélioration est due à l’entraînement (répétition du test après EMDR). À notre connaissance, il n’y a aucune preuve de diminution des taux de CUS simplement par l’entraînement. Par ailleurs, l’amélioration de la poursuite a été observée uniquement après les séances EMDR complètes, à savoir lorsque la détresse est devenue zéro. Nous suggérons plutôt que les améliorations de la poursuite oculaire pourraient être liées à des modifications de l’activité cérébrale en raison de la diminution de la détresse après cette session EMDR.
L’EMDR a stimulé différents axes de recherche, y compris la recherche en laboratoire sur les mécanismes en jeu et sur ses corrélats physiologiques. Par exemple, Elofsson et al, 2008 a examiné la fréquence cardiaque, la respiration, la température du bout des doigts et la conductance de la peau sur les patients qui avaient subi un traitement EMDR suivant le protocole de Shapiro. L’EMDR a causé un changement dans le système autonome, indiqué par une diminution de la fréquence cardiaque et de la conductance de la peau, ainsi qu’une augmentation de la température des doigts. La fréquence et la saturation en oxygène à respirer ont également diminué. Les auteurs concluent que l’EMDR active une réponse cholinergique et inhibe le système sympathique. Les auteurs discutent de plusieurs hypothèses explicatives de l’action d’EMDR (distraction, conditionnement, activation reflexe d’orientation, ou activation des mécanismes de réponse similaire à celui des mouvements oculaires rapides lors du sommeil paradoxal REM).Ils suggèrent que la réactivité physiologique observée, présente des similitudes avec le modèle du sommeil paradoxal. Dans la même veine, Aubert-Khalfa et al, 2008 a mesuré la fréquence cardiaque et la conductance de la peau chez six patients atteints du stress post-traumatique (PTSD) avant et après une séance d’EMDR, sous deux conditions: le sujet était dans une atmosphère détendue ; le sujet visualisait son événement traumatique.
Une réduction significative des symptômes a été observée ; la fréquence cardiaque et la conductance de la peau pendant la condition de rappel du traumatisme ont considérablement diminué par rapport à l’état détendu du sujet.
Peut-être que l’EMDR en réduisant la détresse, active un effet cholinergique qui améliore également la poursuite oculaire, comme la nicotine améliore la poursuite oculaire dans la schizophrénie (Frazier, 1998), (Breese et al, 2000). L’EMDR diminue sans doute l’excitation et le stress, et augmente l’attention. Il convient de souligner que nous avons observé ces effets positifs seulement pour les sujets avec des sessions complètes d’EMDR. Les deux sujets pour lesquels le SUD reste élevé n’ont montré aucune modification significative de leur poursuite oculaire. C’est une indication que l’augmentation de la fluidité de la poursuite oculaire après l’EMDR est liée aux effets positifs de l’EMDR et non pas à l’entrainement à la poursuite oculaire.
En conclusion, il convient de souligner que les effets de l’amélioration de la poursuite rapportés ici sont présents après la séance d’EMDR, alors que le sujet est dans une configuration de laboratoire. Cela suggère des effets bénéfiques durables. La sémiologie des mouvements oculaires est connue pour être un excellent outil pour explorer le fonctionnement du cerveau et la neuro-plasticité (Leigh & Zee, 2006). La fluidité de la poursuite oculaire peut-être un marqueur neurophysiologique subtil de l’efficacité du traitement EMDR. Il est possible de décoder à l’oeil nu la fluidité de la poursuite oculaire. Toutefois, une formation par des spécialistes pourrait aider à accroître la capacité des thérapeutes à décoder de façon efficiente la sémiologie neurophysiologique de la motricité oculaire liée aux processus de désensibilisation au cours des séances EMDR.
Remerciements
Les auteurs remercient l’association EMDR France, l’équipe de David Servan-Schreiber, en particulier Martine Iracane et Patrick Zillharalt superviseurs à la formation EMDR pour l’investigateur principal.
Bibliographie
- Shapiro F (1995) le mouvement des yeux désensibilisation et de retraitement, les principes de base, les protocoles et procédures. The Guilford Press, New York.
- Ross RG, Olincy A, Mikulich SK, Radant AD, Harris JG, et al. (2002) analyse de mélange de mouvements lisses poursuite oculaires chez les probants atteints de schizophrénie et leurs parents suggère gain et grands saccades sont endophénotypes potentiels. Psychophysiologie 39: 809-19.
- Karoumi B, M Saoud, d’Amato T, F Rosenfeld, Denise P, et al. (2001) La mauvaise performance dans la poursuite lisse et tâches mouvements oculaires antisaccadic en frères et sœurs en bonne santé de patients atteints de schizophrénie. Psychiatrie Res 101: 209-19.
- Hong LE, Avila MT, Adami H, Elliot A, Thaker GK (2003) Composants de la fonction de poursuite lente du déficit et de la schizophrénie nondeficit. Schizophr Res 63: 39-48.
- Rommelse NN, Van der Stigchel S, JA Sergent (2008) Un examen sur les études des mouvements oculaires de l’enfance et de la psychiatrie de l’adolescent. Cerveau Cogna 68: 391-414.
- Takarae Y, Minshew NJ, Luna B, Krisky CM, le juge Sweeney (2004) Pursuit déficits des mouvements oculaires dans l’autisme. Cerveau 127: 2584-94.
- Goldberg MC, Lasker AG, Zee DS, Garth E, Tien A, et al. (2002) Les déficits dans l’initiation des mouvements oculaires en l’absence d’une cible visuelle chez les adolescents autistes de haut niveau. Neuropsychologia 40: 2039-49.
- Black JL, Collins DW, De Roach JN, Zubrick SR (1984) lisses poursuite des mouvements oculaires chez les enfants normaux et dyslexiques. Percept MOT Compétences 59: 91-100.
- Eden GF, Stein JF, bois HM, Bois FB (1994) Les différences dans les mouvements des yeux et des problèmes de lecture chez les enfants dyslexiques et normales.Vision Res 34: 1345-1358.
- Trillenberg P, R tisseur, Heide W (2004) les mouvements des yeux et de la maladie psychiatrique. Curr Opin Neurol 17: 43-7.
- Van Gelder P, S Lebedev, Liu PM, Tsui WH (1995) saccades anticipées dans la poursuite en douceur: les effets de la tâche et vecteur de la poursuite après saccades.Vision Res 35: 667-78.
- Wolpe J, J Abrams (1991) Post-traumatic stress disorder vaincu par les mouvements oculaires de désensibilisation: un rapport de cas. J Exp Ther Behav psychiatrie 22: 39-43.
- Thyer BA, JD Papsdorf, Davis R, Vallecorsa S (1984) Autonomic corrélation de l’échelle d’anxiété subjective. J Exp Ther Behav psychiatrie 15: 3-7.
- Shapiro F mouvement (2001) Eye désensibilisation et de retraitement (2e éd.). Guilford Press, New York.
- Lee CW, Drummond PD (2008) Effets de mouvement de l’oeil par rapport thérapeute instructions sur le traitement des souvenirs pénibles. J anxiété Disord 22: 801-8.
- Rashbass C (1961) La relation entre les mouvements oculaires de suivi saccadés et lisses. J Physiol 159: 326-38.
- Elofsson UO, von Scheele B, Theorell T, Sondergaard HP (2008) corrélats physiologiques de désensibilisation des mouvements oculaires et le retraitement. J anxiété Disord 22: 622-34.
- Aubert-Khalfa S, Roques J, Blin O (2008) La preuve d’une diminution des taux et de la conductance de la peau réponses heartb chez les patients SSPT après une seule session EMDR. Journal de la pratique et de la recherche EMDR 2: 51-56.
- Frazier SH (1998) NIMH pendant le mandat de Directeur Shervert H. Frazier, MD (1984-1986): la réorganisation sur la base de troubles mentaux et de la recherche sur la schizophrénie et les troubles mentaux graves. Am J Psychiatry 155: 20-4.
- Breese CR, Lee MJ, Adams CE, Sullivan B, Logel J, et al. (2000) La régulation anormale de haute affinité des récepteurs nicotiniques chez les sujets atteints de schizophrénie. Neuropsychopharmacology 23: 351-64.
- Leigh RJ, Zee DS (2006) Les neurologies des mouvements oculaires. 4ème Ed. edn.Oxford University Press, New York.









